Contoh Manual Prosedur Kerja



Contoh carta alir proses kerja 1.

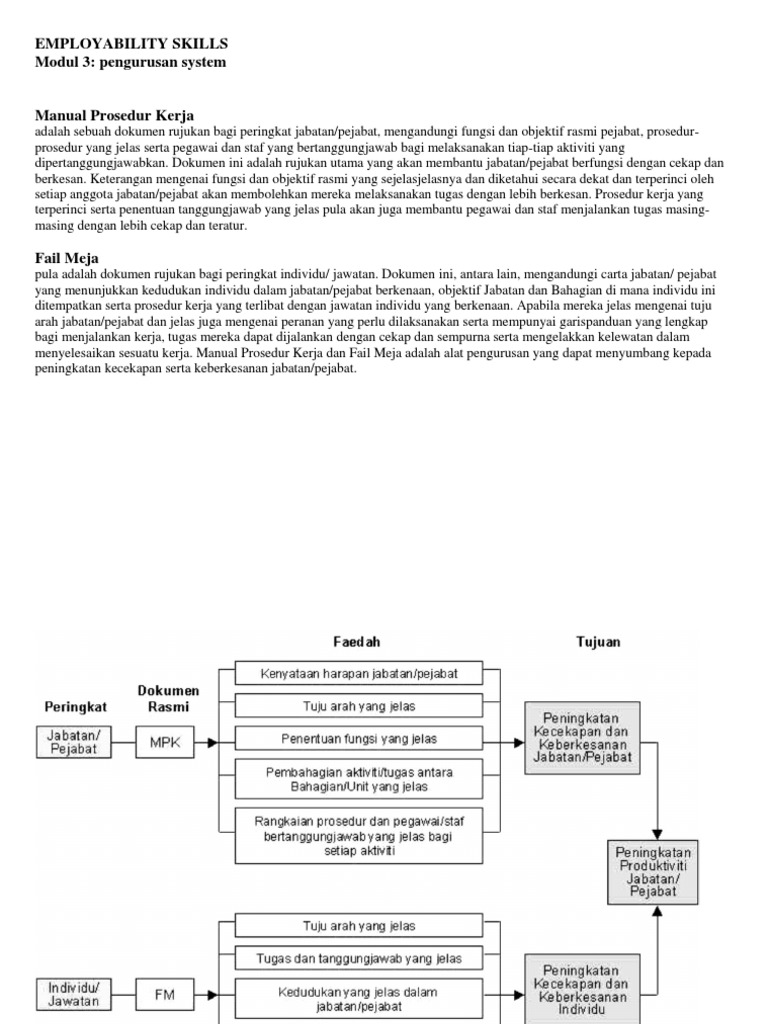
Contoh manual prosedur kerja. Bahan rujukan pegawai kakitangan dalam melaksanakan kerja dengan jelas teratur dan bersistematik alat latihan bagi pegawai kakitangan yang baru berkhidmat atau ditukarkan ke agensi lain. Contoh manual prosedur kerja perkhidmatan pengurusan penutup jabatan. Manual prosedur kerja mpk dan fail meja fm telah diperkenalkan pada tahun 1991 oleh yang demikian kewujudan manual prosedur kerja adalah supaya.

Mulai membersihkan tempat kerja masing masing dan tidak boleh ada yang menganggur jam 7 30 pt. Ii 6 salinan 28 sep 2016 konsep manual prosedur kerja dan fail meja. Manual prosedur kerja mpk fail meja fm 1.

Berikut ini saya ringkas dari berbagai sumber berkaitan dengan prosedur kerja dan aturan kerja. Dokumen ini adalah rujukan utama yang akan membantu jabatan pejabat berfungsi. International webinar series on computational fluid dynamics 2020 september 29 2020.

Formulir rencana studi mahasiswa formulir satuan acara perkuliahan daftar hadir mahasiswa di kelas berita acara perkuliahan formulir perwalian mahasiswa lembar penugasan mengajar bagi dosen lembar evaluasi. Prosedur kerja dan aturan kerja prosedur kerja adalah suatu rangkaian dari tata kerja yang saling berhubungan satu dengan yang lain dimana terlihat adanya suatu urutan tahap demi tahap dan jalan yang harus ditempuh dalam rangka menyelesaikan suatu bidang tugas. Kandungan lampiran a borang permohonan cuti lampiran b surat keliling jabatan perdana menteri bilangan 1 7 1992 bertarikh 14 ogos 1992 lampiran c memorandum setiausaha tetap bilangan jpm o 22 pt.

Dalam satu standar atau manual dimungkinkan lebih dari satu formulir. Hasnah binti abdul rahman pembantu tadbir rendah gred n11. Proses kerja setiap senarai tugas seseorang pegawai perlu disediakan proses kerjanya.

26 okt 2016 contoh manual prosedur kerja sekolah rendah. Standar manual prosedur instruksi kerja. Manual prosedur kerja mpk fail meja fm dr nurul fahizha fahimi.

Contoh carta alir proses kerja 3. Contoh formulir untuk standar proses pembelajaran. Tips for presenters and participants october 6 2020.

Pengenalan persekitaran berqualiti qe rmc. Bil proses kerja pegawaiyang meluluskan diru juk peraturanyang berkaitan 32. I bertarikh 10 mac 1994 lampiran d surat keliling jabatan perdana menteri bilangan 4 2008 bertarikh i mac 2008.

Contoh soalan peperiksaan disember 2006 manual prosedur kerja mpk adalahsatu dokumen rujukan rasmi diperingkatkementerian danjabatanyang mengandungimaklumat maklumatmenyeluruh mengenai kementerian dan jabatanberkenaan. Tujuan manual prosedur kerja manual prosedur kerja adalah. Contoh format bagi proses kerja ialah.

Mpk jugasebagaibahan rujukan pegawaidan kakitangan dalammelaksanakankerja dengan jelas dan teratur serta bersistematik. Sebuah dokumen rujukan bagi peringkat jabatan pejabat mengandungi fungsi dan objektif rasmi pejabat prosedur prosedur yang jelas serta pegawai dan staf yang bertanggungjawab bagi melaksanakan tiap tiap aktiviti yang dipertanggungjawabkan. Contoh carta alir proses kerja 2.

Pemuda barokah buka semua pekerja melakukan pekerjaannya masing masing jam 11 30 semua pekerja diperbolehkan untuk istirahat sampai selesai sholat dhuhur jam 12 00 semua pekerja sudah harus diposisinya kembali untuk. Jam 7 00 pagi semua pekerja sudah harus sampai di kantor.